
रमेश राजपूत
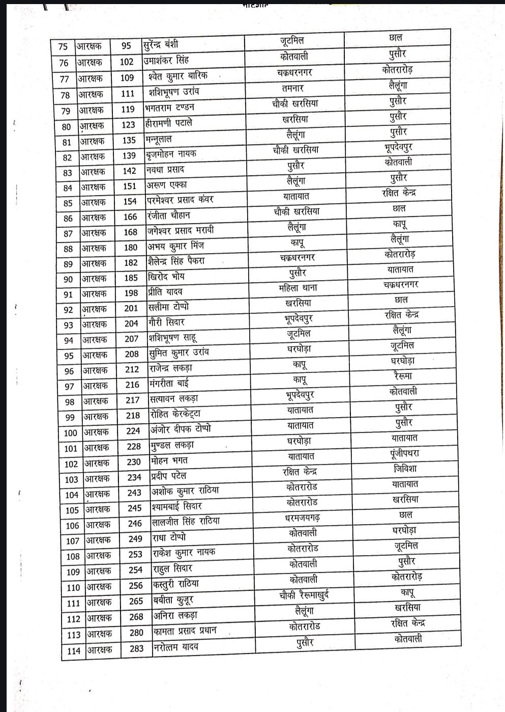
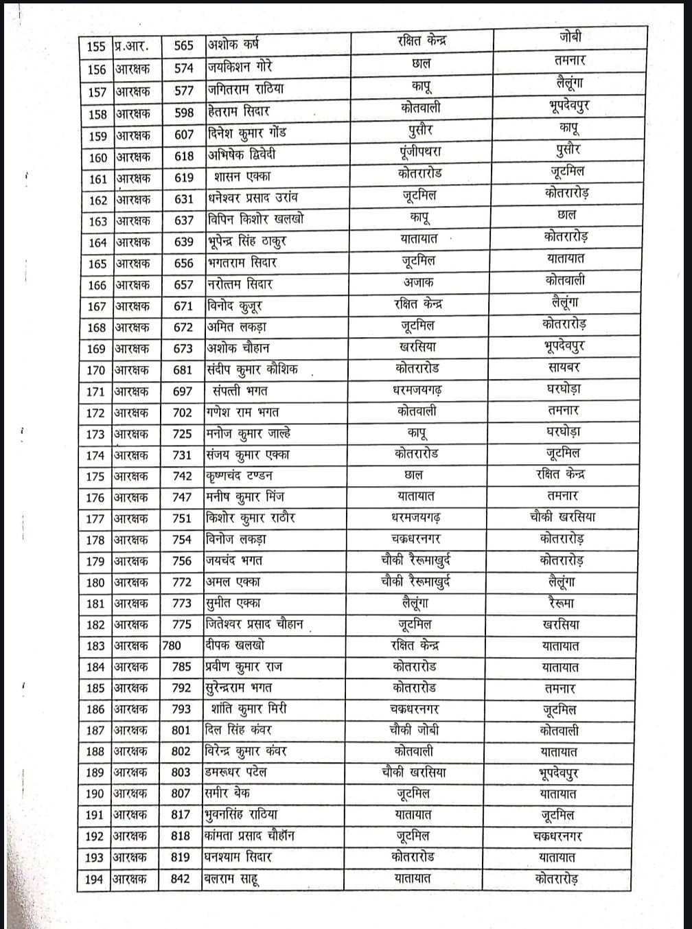
रायगढ़ – जिले में पुलिस विभाग में पुलिस कर्मियों का तबादला आदेश जारी किया गया है, जिनमे उप निरीक्षक से लेकर आरक्षक तक कुल 219 पुलिस कर्मियों के नाम लिस्ट में शामिल है, जिन्हें जिले के विभिन्न थाना, चौकी और स्थानों पर तैनात किया गया है, देखिए आदेश…





